当前位置:首页  教学科研

我校巩晓颖研究员课题组在13C后羧化分馏研究取得新进展

时间:2023-11-10浏览:10设置

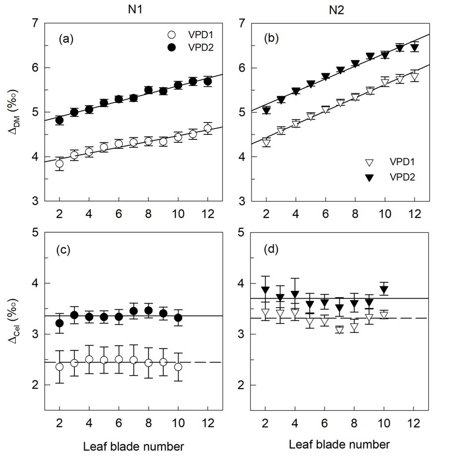
陆地生态系统的碳同位素组成(δ13C)对于研究气候变化、植物生理性状和生态系统生产力等方面具有重要意义。但是,尚不清楚后羧化分馏如何在有机质合成、代谢和转运过程中影响植物δ13C信号。

研究团队C4植物糙隐子草(Cleistogenes squarrosa)为实验材料,通过严格控制环境δ13C的气候室实验,开展了氮素和大气水汽压差的双因素交互实验,利用叶片总有机质和纤维素的δ13C差异揭示了叶片在生长过程中逐渐贫化13C的后羧化分馏效应。同时建立了叶片碳周转和后羧化分馏模型,将后羧化分馏归因于呼吸和光合产物输出导致的分馏效应。由于年轻成熟叶和纤维素受后羧化分馏效应影响较小,并具有一致的环境响应特征,作者建议在相关研究中采用年轻成熟叶片或者纤维素作为研究材料,并且在采样过程中需要注意叶龄效应的潜在影响。

研究成果以δ13C of bulk organic matter and cellulose reveal post-photosynthetic fractionation during ontogeny in C4 grass leaves为题发表于学术期刊Journal of Experimental Botany(一区Top)。论文第一单位为福建师范大学,我校硕士研究生余咏枝为第一作者,巩晓颖研究员为通讯作者。本研究得到国家自然科学基金面上项目、重点国际(地区)合作项目和德国科学基金项目的经费支持。






文章链接:https://doi.org/10.1093/jxb/erad445


返回原图
/